您的當前位置:首頁 > 產品知識 > 更多產品知識 > 決定磨機轉速的方法
作者:紅星機器 發布時間:2019-04-08 08:45:36
在拋落式工作的磨機中,磨礦作用主要來自鋼球落下時的動能。此動能的大小,與鋼球的落下高度(H)有關,而鋼球的落下高度又決定于磨機的轉速。根據前面的論述,必然可從鋼球更大落下高度來決定磨機的合適轉速。照此理,將公式(2-29)取導數,并令它等于零,就可以求出使鋼球有拋物落下高度時的脫離角,再從它找到相應的轉速。
![]()
故![]()
![]()
此值與前面講的v1=0(即vp=vn)時的脫離角
很接近。
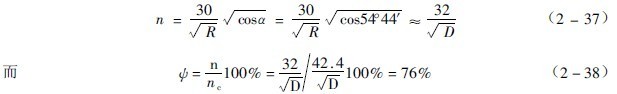
應用公式(2-36)來決定轉速時,有兩種方法。首先用外層球有落下高度來定轉速。若取外層球的半徑即磨機的內半徑,由公式(2-2)得到

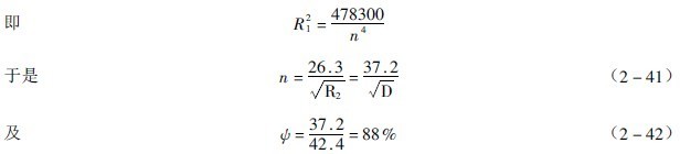
這種辦法只考慮外層球處于適宜狀態,其他層球則未必處于適宜狀態,裝球越多,不適宜的球層也越多,故不是合理的辦法。求得的轉速率較低,不能保證球荷作拋落式工作,現在轉速較低的磨機采用此法。第二種用球荷的回轉半徑與脫離角的關系來推算。設想全部球荷的質量集中在某一層球,此層球可以代表全部球荷,它的球層半徑(R0)就是全部球荷繞磨機中心(O)作圓運動的回轉半徑。根據扇形對O點的極轉動慣量中徑的求法,可以得到
![]()
當此層球有拋物落下高度時,a0=
,從而
![]()

這種方法比前一種較合理,因為考慮了全部球荷。生產中轉速較高的磨機,采用這種方法。
本篇內容于 2019-04-08 08:45:36 已補充更新如果您想了解我們的產品,可以隨時撥打我公司的銷售熱線或點擊咨詢!![]()
推薦閱讀
TOP169鄂破機價格及型號參數鄂破機
TOP257鄂破機一小時能產多少噸物料鄂破機
TOP3時產1000噸石料生產線設備有哪些?多少錢?石料生產線價格
TOP4140圓錐破時產多少石子圓錐破 圓錐破碎機
TOP5小型碎沙機多少錢一臺?碎石機
TOP6一套碎石機大概需要多少錢碎石機
TOP7生產雷蒙磨粉機(雷蒙磨)的廠家磨粉機
TOP8每小時產200噸的石子破碎機多少錢一臺?破碎機
TOP969破碎機一小時處理多少立方石子?破碎機 69顎式破碎機
TOP101060顎破型號有哪些?什么價?顎破 顎式破碎機
TOP11時產500噸石子生產線配置方案_廠家報價生產線
TOP12銷量較好的雷蒙磨粉機型號有哪些雷蒙磨粉機
換一換 ![]()
想讓資深工程師為您設計生產方案?想獲取全套設備優惠報價單?請留言,專業經理即刻開始為您一對一服務!(不用擔心信息泄露,我們將為客戶提供信息保密服務!)
來廠考察即可獲取資深工程師為您設計方案
多機型現貨可選,簽訂合同,2天內發出
售后團隊親臨現場,指導設備安裝、試車,完成交付
跟蹤砂場運營情況,提供生產運營指導,保障砂場快速盈利
球磨機是礦山選礦中必不可少的關鍵設備,而對于球磨機來講,球磨機的轉速又是是決定研磨效率的關鍵因素...
201103.25
查看詳情河南紅星礦山機器有限公司 總部地址:中國鄭州高新技術產業開發區檀香路8號
工程師免費設計方案已有162位獲得心儀的方案
算一算 搭配一條合適的生產線需要多少錢?
點擊獲取報價